In a new study published in Earth and Planetary Science Letters, a joint research team led by Dr. LIU Qian and Dr. LI Tao from the Nanjing Institute of Geology and Palaeontology, Chinese Academy of Sciences (NIGPAS), and Dr. CHEN Sang from Shanghai Jiao Tong University, has resolved these uncertainties. Collaborating with researchers from the University of Bristol and Nanjing University, the team successfully identified the primary non-environmental controls on Li/Mg fractionation.
Deep-sea scleractinian corals serve as critical "natural archives," preserving high-resolution geochemical records of long-term oceanographic changes. Among emerging proxies, the Lithium-to-Magnesium ratio (Li/Mg) in coral skeletons has gained traction as a potential paleothermometer. However, its reliability has been hindered by unexplained variability across different skeletal structures and an incomplete understanding of the underlying biomineralization mechanisms.
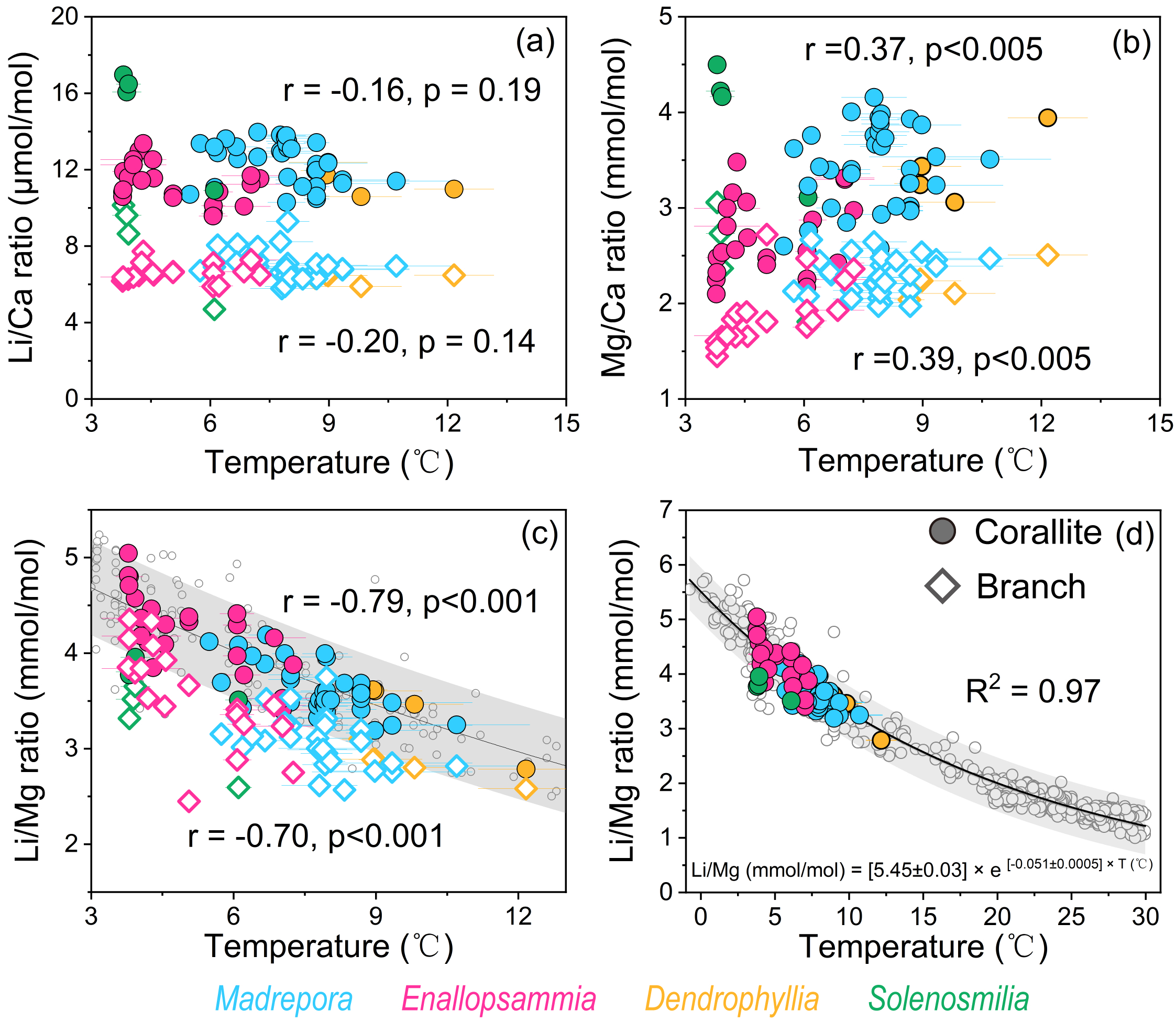
To isolate the drivers of geochemical variability, the researchers conducted a systematic analysis of 60 modern branching cold-water coral specimens collected from the North Atlantic, Equatorial Atlantic, and Eastern Equatorial Pacific. They performed comparative sampling of two distinct skeletal structures: the corallites (cup skeletons) and the branches (coenosteum). The results revealed a significant and systematic offset that trace element ratios such as Li/Ca, Mg/Ca, B/Ca, and notably Li/Mg, were consistently enriched in the corallites compared to the branches. Conversely, Sr/Ca and U/Ca ratios showed the opposite trend. After excluding the influence of Centers of Calcification (COC), the modeling results combined with existing inorganic precipitation experiments identified skeletal growth rate as the dominant factor controlling the Li/Mg offset between the two structures.
This study has immediate implications for paleoceanography. The authors advocate for a standardized sampling protocol that strictly differentiates between skeletal structures, specifically separating corallites from branches, to eliminate systematic errors caused by growth rate variations. Furthermore, the study highlights the necessity of incorporating biomineralization mechanisms into future Li/Mg temperature calibrations to minimize proxy uncertainty.
This work was supported by the National Key Research and Development Program of China and the National Natural Science Foundation of China.
Reference: Liu, Q., Stewart, J.A., Robinson, L.F., Chen, S.*, Wang, M., Chen, T., Li, T.*, 2026. Colonial cold-water coral Li/Mg palaeothermometry: Influence of growth rate and skeletal heterogeneity. Earth Planet. Sci. Lett. 674, 119743. https://doi.org/10.1016/j.epsl.2025.119743.

Fig.1 Colonial cold-water coral collection map and the subsampling strategy

Fig.2 The elemental ratios of corallite and Branch and their relationship with temperature

Fig.3 The SEM photos of (a) corallite and (b) branch with (c) the influence of growth rate on Li/Mg ratio
Download:
