Plant terrestrialization is one of the major events in the evolutionary history of life on Earth, signifying the transition of the primary productivity base of early terrestrial ecosystems from biocrust (composed of organisms such as bacteria, algae, and lichens) to green vegetation (dominated by land plants). This process has had a profound impact on the formation of the modern Earth's habitable environment. However, for a long time, the lack of an in-depth research system has led to a significant deficiency in the understanding of the early history of plant terrestrialization.
The early history of plant terrestrialization is preserved in the form of organic-walled microfossils in the Early Paleozoic-Early Devonian rocks. These microfossils serve as the important physical remains for relevant research. Compared with other microfossils of early land plants, cryptospores appeared earlier in the strata, with a longer evolutionary history and a wider spatial distribution, making them a key research object for exploring the plant terrestrialization.
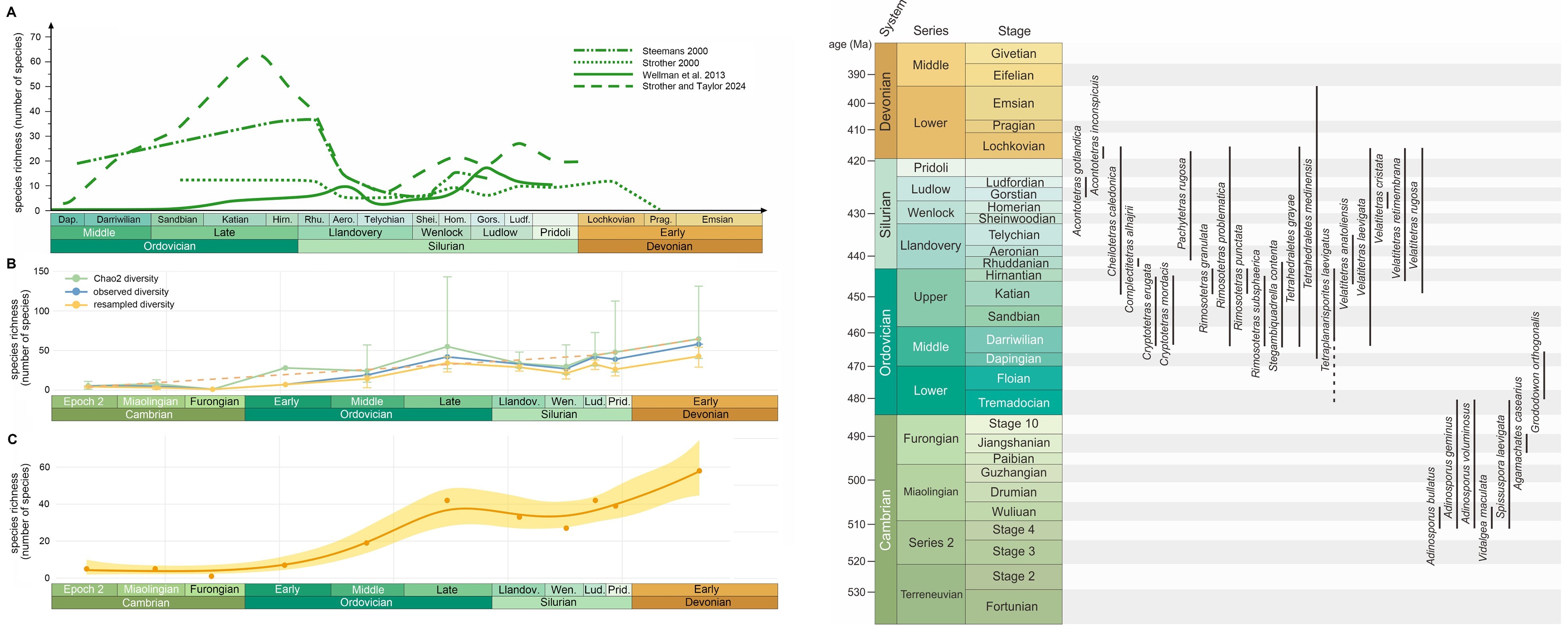
Recently, Dr. WANG Kai, together with Prof. XU Honghe, Dr. LIU Bingcai and Prof. WAGN Yi at the Nanjing Institute of Geology and Palaeontology, Chinese Academy of Sciences (NIGPAS), reviewed the global fossil records of cryptospores that have been accumulated since the relevant research was initiated in 1971. Their work presents a systematic overview of this fossil group in terms of morphology, classification, biological relationships, biogeography and evolutionary significance. Using methods such as Chao2 estimator, Generalized Additive Model, Non-metric Multidimensional Scaling (NMDS), Network and SIMPER analysis, they comprehensively studied the diversity changes of cryptospores over a long time scale and the paleogeographic differentiation of early spore assemblages. The results were recently published in Earth-Science Reviews.
To date, two distinct definitions of cryptospores, sensu stricto and sensu lato, have been proposed. The former defines cryptospores as exclusively derived from embryophytes, while the latter includes spore-like microfossils from streptophyte algae as well (the records are only known from the Cambrian strata of the United States and China, as well as the Lower Ordovician of Australia). Up to now, 36 genera and 102 species of cryptospores s.l. have been discovered worldwide. The current classification scheme is mainly based on the morphological characters including the number of spore bodies, membrane, ornament and configuration. The in-situ preserved spores of eophytes in the upper Silurian-Lower Devonian indicate that the parent plants of cryptospores might be the basal stem group of vascular plants. However, considering the older dispersed spore records in the Ordovician, it is not possible to completely rule out the possibility that these minute plants occurred as a stem group of embryophytes.
The research suggests that the Late Ordovician was the first radiation time window for the early land plant evolution. By the early Silurian, the global land plant communities began to show geographical differentiation. With the emergence and diversification of early trilete spores, this geographical differentiation became more pronounced in the middle and late Silurian, while cryptospores do not show further diversification during this period. Although representing a late phase of cryptospore evolution, the Early Devonian was still an important flourishing period for the cryptospore-producing plants.
The geographical distribution pattern of cryptospores suggests that the earliest land plants had strong ecological adaptability, occurring in both tropical and high-latitude climate zones. Also, this adaptability seems to persist throughout the process of plant terrestrialization from the Middle Ordovician to the Early Devonian. However, following the Middle Devonian, cryptospores are seldom recorded, even in the spore assemblages with high abundance and diversity. Future efforts involving more extensive exploration and analysis of the fossil record, together with interdisciplinary integration, are likely to further develop and refine existing theories of plant terrestrialization, thereby helping to decipher more mysteries about its evolutionary history.
This work provides panoramic evidence of microfossil records for understanding the early history of plant terrestrialization and builds a multi-level framework for future microfossil research on early land plants. Moreover, this work is expected to be of value as a reference resource for fossil enthusiasts interested in plant terrestrialization, as well as for specialists and interdisciplinary collaborators.
This study was funded by the National Key Research and Development Program of China.
Reference:
Wang, K., Xu, H.H.*, Liu, B.C., Wang, Y. (2026). Dynamic evolution of cryptospores: The origin and rise of the land flora. Earth-Science Reviews, 105476. https://doi.org/10.1016/j.earscirev.2026.105476
Wang, K., Xu, H.H.*, Yin, L.M. (2026). Cryptospores from the Shipai Formation (Cambrian Series 2, Stage 4) of Yichang, southern China. Palynology. https://doi.org/10.1080/01916122.2025.2589185

Morphological diversity of representative cryptospores

Sankey diagram showing the morphological classification and diversity of cryptospore genera

Diversity curves (left) and stratigraphic ranges (right) of cryptospores

Paleogeographic distribution of cryptospores (left) and related results of non-metric multidimensional scaling (NMDS) and SIMPER analysis
Download:
